| 일 | 월 | 화 | 수 | 목 | 금 | 토 |
|---|---|---|---|---|---|---|
| 1 | 2 | 3 | ||||
| 4 | 5 | 6 | 7 | 8 | 9 | 10 |
| 11 | 12 | 13 | 14 | 15 | 16 | 17 |
| 18 | 19 | 20 | 21 | 22 | 23 | 24 |
| 25 | 26 | 27 | 28 | 29 | 30 | 31 |
- FPM
- 경제공부
- tm
- Eclipse
- python
- 클래스
- 자바
- BTP
- 알고리즘
- S/4HANA
- ui5
- java
- sap
- 재테크강의
- Fiori
- BOBF
- mac
- ETF
- module
- 맥북
- visual studio code
- 부업
- BOPF
- 탈잉후기
- 수익화
- 탈잉스크루지챌린지
- 파이썬
- 탈잉
- 이클립스
- ABAP
- Today
- Total
z2soo's Blog
Deep learning: ReLU 함수 본문
목차
정확도를 높이고, Sigmoid 함수의 한계를 해결하기 위해 사용되기 시작한 ReLU함수에 대해 알아보도록 한다.
- Sigmoid 함수
- ReLU 함수
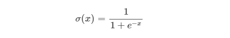
Sigmoid 함수
Sigmoid 함수 그래프


Sigmoid 함수 특징
- 함수 값이 ( 0, 1 )로 제한된다.
- 중간 값은 1/2 이다.
- 가장 큰 값을 가지는 함수값은 거의 1이며, 매우 작은 값을 가지는 함수값은 거의 0이다.
Sigmoid 활용 MNIST 예제
이전 포스팅에서 tensorflow에서 제공하는 MNIST 데이터를 가지고 deep learning을 수행해보았다.
deep learning이란 조금 더 학습이 잘 되기 위해 layer를 추가하고, 각 layer에 많은 perceptron을 추가해서 구현하는 학습을 말한다. deep learning을 하였지만, 지금까지 사용해오던 sigmoid를 변함없이 사용한 과정이 다음과 같다.
# module 삽입
import tensorflow as tf
from tensorflow.examples.tutorials.mnist import input_data
import warnings
warnings.filterwarnings(action='ignore')
# data loading
mnist = input_data.read_data_sets('./data/mnist', one_hot=True)
# placeholder
X = tf.placeholder(shape=[None, 784], dtype=tf.float32)
Y = tf.placeholder(shape=[None, 10], dtype=tf.float32)
# W,b
W1 = tf.Variable(tf.random_normal(shape=[784,256]), name='weight1')
b1 = tf.Variable(tf.random_normal(shape=[256]), name='bias1')
layer1 = tf.sigmoid(tf.matmul(X,W1) + b1)
W2 = tf.Variable(tf.random_normal(shape=[256, 256]), name='weight2')
b2 = tf.Variable(tf.random_normal(shape=[256]), name='bias2')
layer2 = tf.sigmoid(tf.matmul(layer1,W2) + b2)
W3 = tf.Variable(tf.random_normal(shape=[256, 10]), name='weight3')
b3 = tf.Variable(tf.random_normal(shape=[10]), name='bias3')
# Hypothesis
logit = tf.matmul(layer2, W3) + b3
H = tf.nn.softmax(logit)
# cost
cost = tf.reduce_mean(tf.nn.softmax_cross_entropy_with_logits_v2(logits=logit, labels=Y))
# train
train = tf.train.GradientDescentOptimizer(learning_rate=0.1).minimize(cost)
# session, 초기화
sess = tf.Session()
sess.run(tf.global_variables_initializer())
# 학습
num_of_epoch = 30
batch_size = 100
for step in range(num_of_epoch):
batch_x, batch_y = mnist.train.next_batch(batch_size)
cost_val = 0
for i in range(num_of_iter):
num_of_iter = int(mnist.train.num_examples / batch_size)
_, cost_val = sess.run([train, cost], feed_dict={X: batch_x,
Y: batch_y})
if step % 3 == 0:
print(f'cost: {cost_val}')
# acuracy
predict = tf.argmax(H,1)
correct = tf.equal(predict, tf.argmax(Y,1))
accuracy = tf.reduce_mean(tf.cast(correct, dtype=tf.float32))
print(f'정확도:{sess.run(accuracy, feed_dict={X:mnist.test.images, Y: mnist.test.labels})}')
multinomial logistic regression 학습 방법 중 1개의 layer 만을 사용하였을 때와 비교해보아도 위의 과정, multi-layer를 이용한 deep learning의 정확도가 많이 향상되지는 않는다.
Sigmoid 함수 한계
0과 1로 표현되는 값들을 linear로는 표현하는데 한계를 느끼면서 사용한 sigmoid 함수는 0과 1 사이의 값으로 표현된다. 즉, 값이 확률로 표현된다. multinomial logistic regression으로 넘어오면서 여러 확률 값들이 나왔고, 그 확률 값들의 합이 1이 되게끔 softmax 함수를 이용하였다. softmax를 통해 여러 logistic 각각에 대한 확률 값들을 구할 수 있게 된 것이다. 하지만, layer가 많아지면서 값들이 sigmoid 함수를 통과하는 횟수가 증가하였고(sigmoid 함수의 중첩 사용), 그에 따라 값이 0에 가까워지는 양상을 보이게 되었다. ( Vanishing Gradient : 값이 희미해짐 ) 이러한 한계를 해결하기 위해 ReLU라는 함수를 만들어 내었고, multi-layer deep learning 과정에서는 sigmoid 함수 대신 ReLU 함수를 사용하기 시작하였다.
ReLU 함수
ReLU 함수 그래프

ReLU 함수 특징
- x > 0 이면 기울기가 1인 직선이고, x < 0 이면 함수값이 0이 된다.
- sigmoid 함수를 이용한 학습보다 빠르다.
- 연산 비용이 크지 않고, 구현이 매우 간단하다.
- x < 0 인 값들에 대해 기울기가 0 이기 때문에, neuron이 죽을 수 있는 단점이 존재한다.
ReLU 활용 MNIST 예제
위에서 Sigmoid를 사용한 예제를 ReLU 함수를이용해서 구현해보자.
# module 삽입
import tensorflow as tf
from tensorflow.examples.tutorials.mnist import input_data
import warnings
warnings.filterwarnings(action='ignore')
# data loading
mnist = input_data.read_data_sets('./data/mnist', one_hot=True)
# placeholder
X = tf.placeholder(shape=[None, 784], dtype=tf.float32)
Y = tf.placeholder(shape=[None, 10], dtype=tf.float32)
ReLU 함수 사용시, 변화는 W, b, H 과정에서 발생! 나머지 과정은 동일하게 진행된다.
- tf.nn.relu( tf.matmul( X, W ) + b ) : 기존 layer 수식, H 수식에 쓰던 sigmoid 대신 relu 함수 사용
- tf.nn.relu( logit ) : 기존 softmax 대신 relu 함수 사용
# W,b
W1 = tf.Variable(tf.random_normal(shape=[784,256]), name='weight1')
b1 = tf.Variable(tf.random_normal(shape=[256]), name='bias1')
# relu!!!!!! 사용!!!!!
# 수식은 너무 복잡해서 주어진 함수 사용
layer1 = tf.nn.relu(tf.matmul(X,W1) + b1)
W2 = tf.Variable(tf.random_normal(shape=[256, 256]), name='weight2')
b2 = tf.Variable(tf.random_normal(shape=[256]), name='bias2')
layer2 = tf.nn.relu(tf.matmul(layer1,W2) + b2)
W3 = tf.Variable(tf.random_normal(shape=[256, 10]), name='weight3')
b3 = tf.Variable(tf.random_normal(shape=[10]), name='bias3')
# Hypothesis
logit = tf.matmul(layer2, W3) + b3
H = tf.nn.relu(logit)
# H = tf.nn.softmax(logit) 이전에는 이렇게 썼음
# 모든 함수를 relu로 바꾸어 준다.
나머지 과정은 동일하게 진행된다.
# cost
cost = tf.reduce_mean(tf.nn.softmax_cross_entropy_with_logits_v2(logits=logit, labels=Y))
# train
train = tf.train.GradientDescentOptimizer(learning_rate=0.01).minimize(cost)
# session, 초기화
sess = tf.Session()
sess.run(tf.global_variables_initializer())
# 학습
num_of_epoch = 30
batch_size = 100
for step in range(num_of_epoch):
batch_x, batch_y = mnist.train.next_batch(batch_size)
cost_val = 0
for i in range(num_of_iter):
num_of_iter = int(mnist.train.num_examples / batch_size)
_, cost_val = sess.run([train, cost], feed_dict={X: batch_x,
Y: batch_y})
if step % 3 == 0:
print(f'cost: {cost_val}')
# acuracy
predict = tf.argmax(H,1)
correct = tf.equal(predict, tf.argmax(Y,1))
accuracy = tf.reduce_mean(tf.cast(correct, dtype=tf.float32))
print(f'정확도:{sess.run(accuracy, feed_dict={X:mnist.test.images, Y: mnist.test.labels})}')
ReLu 함수를 사용하였지만, 여전히 정확도는 크게 높아지지 않는다. 이전의 설명을 잘 기억한다면, Hinton이 주장한 두 가지의 한계점!
1. 단일 layer 학습의 한계
2. 초기값 임의 설정의 한계
초기값을 랜덤으로 주었을 때, 운이 좋으면 W 값에 따라 학습이 잘 이루어지고, 그렇지 않으면 학습이 잘 이루어지지 못한다는 한계를 가진다. 2010년도 Xavier 초기화라는 방식이 논문으로 발표되었고, 2015년도에는 He's 초기화라는 방식이 논문으로 발표되었다. 현재까지도 계속해서 연구가 진행되고 있다. 초기값 설정에 대해서는 다음 포스팅에서 다루어보도록 한다.
'Big data & AI' 카테고리의 다른 글
| Deep learning 예제: CNN 활용 과정 1 (0) | 2020.01.14 |
|---|---|
| Deep learning: CNN 개념 (0) | 2020.01.14 |
| Deep learning: 과적합 해결 dropout (0) | 2020.01.13 |
| Deep learning: Xavier 초기값 및 초기화 (0) | 2020.01.13 |
| Deep learning 예제: MNIST (0) | 2020.01.13 |